958. Check Completeness of a Binary Tree
Given a binary tree, determine if it is a complete binary tree.
Definition of a complete binary tree from Wikipedia: In a complete binary tree every level, except possibly the last, is completely filled, and all nodes in the last level are as far left as possible. It can have between 1 and 2h nodes inclusive at the last level h.
Example 1:

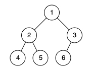
Input: [1,2,3,4,5,6]
Output: true
Explanation: Every level before the last is full (ie. levels with node-values {1} and {2, 3}), and all nodes in the last level ({4, 5, 6}) are as far left as possible.Example 2:

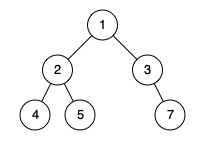
Input: [1,2,3,4,5,null,7]
Output: false
Explanation: The node with value 7 isn't as far left as possible.Note:
The tree will have between 1 and 100 nodes.
// BFS Level Order Traversal
bool isCompleteTree(TreeNode* root) { // time: O(n); space: O(n)
vector<TreeNode*> nodes({root});
int i = 0;
while (i < nodes.size() && nodes[i]) {
nodes.push_back(nodes[i]->left);
nodes.push_back(nodes[i]->right);
++i;
}
while (i < nodes.size() && !nodes[i]) {
++i;
}
return i == nodes.size();
}// BFS Level Order Traversal
bool isCompleteTree(TreeNode* root) { // time: O(n); space: O(n)
bool end = false;
queue<TreeNode*> q({root});
while (!q.empty()) {
TreeNode* t = q.front(); q.pop();
if (!t) end = true;
else {
if (end) return false;
q.push(t->left);
q.push(t->right);
}
}
return true;
}Last updated
Was this helpful?