1214. Two Sum BSTs
Input: root1 = [2,1,4], root2 = [1,0,3], target = 5
Output: true
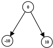
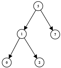
Explanation: 2 and 3 sum up to 5.Input: root1 = [0,-10,10], root2 = [5,1,7,0,2], target = 18
Output: false// Iteration with Two Stacks
bool twoSumBSTs(TreeNode* root1, TreeNode* root2, int target) { // time: O(m + n); space: O(m + n)
// Use inorder traversal to traverse from the smallerst node in BST1 and the largest node in BST2
stack<TreeNode*> st1, st2;
TreeNode *t1 = root1, *t2 = root2;
while (true) {
// BST1 inorder successor
while (t1) {
st1.push(t1);
t1 = t1->left;
}
// BST2 inorder predecessor
while (t2) {
st2.push(t2);
t2 = t2->right;
}
if (st1.empty() || st2.empty()) break;
t1 = st1.top();
t2 = st2.top();
int sum = t1->val + t2->val;
if (sum == target) return true;
else if (sum < target) {
st1.pop();
t1 = t1->right;
t2 = nullptr;
} else {
st2.pop();
t2 = t2->left;
t1 = nullptr;
}
}
return false;
}Last updated



