988. Smallest String Starting From Leaf
Given the root of a binary tree, each node has a value from 0 to 25 representing the letters 'a' to 'z': a value of 0 represents 'a', a value of 1 represents 'b', and so on.
Find the lexicographically smallest string that starts at a leaf of this tree and ends at the root.
(As a reminder, any shorter prefix of a string is lexicographically smaller: for example, "ab" is lexicographically smaller than "aba". A leaf of a node is a node that has no children.)
Example 1:

Input: [0,1,2,3,4,3,4]
Output: "dba"Example 2:

Input: [25,1,3,1,3,0,2]
Output: "adz"Example 3:

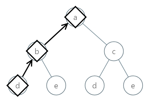
Input: [2,2,1,null,1,0,null,0]
Output: "abc"Note:
The number of nodes in the given tree will be between
1and8500.Each node in the tree will have a value between
0and25.
// Top-Down Recursion (Preorder Traversal)
void helper(TreeNode* node, string cur, string& res) {
if (!node) return;
cur = (char)('a' + node->val) + cur;
if (!node->left && !node->right) {
if (cur < res) res = cur;
return;
}
helper(node->left, cur, res);
helper(node->right, cur, res);
}
string smallestFromLeaf(TreeNode* root) {
string res = "~", cur;
helper(root, cur, res);
return res;
}// Top-Down Recursion (Preorder Traversal)
string smallestFromLeaf(TreeNode* root, string str = "") {
if (!root) return "~";
str = (char)('a' + root->val) + str;
return root->left == root->right ? str : min(smallestFromLeaf(root->left, str), smallestFromLeaf(root->right, str));
}Last updated
Was this helpful?